2019-09-29 16:53:20
圆度测量与评定方法概述
圆度误差是指回转体的同一正截面上实际被测轮廓对其理想圆的变动量。
圆度误差的测量方法大多采用坐标测量法,其中又分为极坐标法和直角坐标法。极坐标即为采用圆度仪进行测量,圆度仪的基本原理是基于极坐标测量的方法,将被测零件放入它允许的测量空间中,依据零件上的设计基准,建立一个极坐标系,精确地测量出组成被测要素空间点的极坐标值,将这些点的极坐标数值进行数据处理,从而得到圆度误差。
直角坐标法即采用三坐标测量机进行测量,三坐标测量机的基本原理基于直角坐标测量的方法,将被测零件放入它允许的测量空间中,依据零件上的设计基准,建立一个空间直角坐标系,精确地测量出组成被测要素空间点的直角坐标值,将这些点的坐标值进行数据处理,得到圆度误差。实际中多采用圆度仪进行测量。也有采用直角坐标和极坐标相结合的方法。
圆度的评定方法有最小包容区域法、最小二乘圆法、最小外接圆法和最大内切圆法。最小区域法是根据定义进行评定,评定出的误差值最小,作为最后仲裁依据。其他三种方法都是首先确定基准圆,然后计算测量点到基准圆心最大距离和最小距离之差,所得即为圆度误差。这三种方法的区别主要在于基准圆的确定,分别以最小二乘圆,最小外接圆和最大内切圆作为基准。其中最小二乘圆法计算方便简洁,精度比较高,应用比较广泛。
圆度的最小二乘模型
因为圆度的坐标测量法分为直角坐标和极坐标两种方法,因此圆度的评定也分为直角坐标系和极坐标系下两部分进行评定。
如下图所示,在直角坐标系下建立圆度的最小二乘模型。设(xi,yi;),i=1,2,…,n,n>3为被测实际圆周上的测量采样点。设待求最小二乘圆的方程为
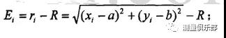
,其中(a,b)为最小二乘圆的圆心,R为最小二乘圆的半径。采样点到最小二乘圆的径向偏差为:
在圆度误差的实际测量与评定过程中,要求测量采样点满足以下约束条件:
测量采样点在被测圆周上等间距分布;测量采样点的数目为偶数。在此约束条件下最小二乘圆圆心为:
假定距离最小二乘圆心最大和最小的点分别为:(xM,yM),(xL,yL)
则圆度误差可表示为:
如下图所示,在极坐标系下建立圆度的最小二乘模型
设(ri,θi),i=1,2,…,n,n>3为被测实际圆周上的测量采样点。设最小二乘圆圆心的极坐标为(e,ψ),直角坐标为(a,b),最小二乘半径为R,采样点到最小二乘圆心的距离为Ri
根据最小二乘原理得:
假定距离最小二乘圆心最大和最小的采样点分别为:(rm,θm)。(rL,θL.),则圆度误差数学模型为:
转载至 测量俱乐部公众号